
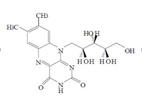
CAS NO.:9067-32-7 EINECS NO.:201-507-1 HS CODE:2936230000 Molecular Formula:C17H20N4O6 Molecular Weight:376.37
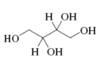
CAS NO.:149-32-6 EINECS NO.:205-737-3 HS CODE:2905499000 Molecular Formula:C4H10O4 Molecular Weight:376.37
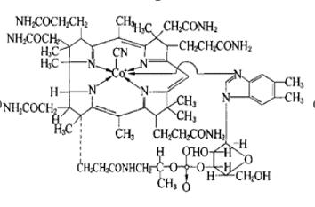
CAS NO.:13422-55-4 EINECS NO.:236-535-3 HS CODE:2936230000 Molecular Formula:C63H88CoN14O14P Molecular Weight:1343.4
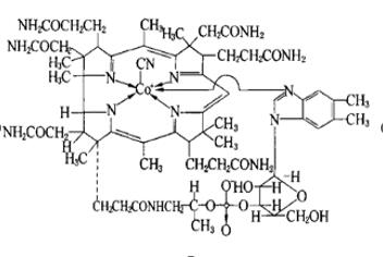
CAS NO.:68-19-9 EINECS NO.:200-680-0 HS CODE:2936230000 Molecular Formula:C63H88CoN14O14P Molecular Weight:1355.365
CAS NO.:83-88-5 EINECS NO.:201-507-1 HS CODE:2936230000 Molecular Formula:C17H20N4O6 Molecular Weight:376.37
CAS NO.:73-32-5 EINECS NO.:200-798-2 HS CODE:2922491990 Molecular Formula:C6H13NO2 Molecular Weight:131.17